Two Wires Having Resistance R And 2R . two electrical resistances r and 2r are connected in parallel combination. two metallic wires a and b are connected in parallel. two wires of equal diameters, of resistivities ρ1, ρ2 and lengths x1 and x2 respectively are joined in series. two metallic wires a and b are connected in parallel. Rs = r+2r = 3r. Wire a has length l and radius r , wire b has a length 2l and radius 2r. two resistors of resistance r and 2r are connected in parallel, and this combination is connected to a resistor of resistance 1.5r. if two wires having resistance r and 2r. Wire a has length l and radius r, wire b has a length 2l and radius 2r. two resistors connected in series (r1, r2) are connected to two resistors that are connected in parallel (r3, r4). Both joined in series and in parallel then ratio of heat generated in this situation, applying. H ph s = rsv 2 × v 2rp.
from www.numerade.com
Wire a has length l and radius r, wire b has a length 2l and radius 2r. two wires of equal diameters, of resistivities ρ1, ρ2 and lengths x1 and x2 respectively are joined in series. two resistors connected in series (r1, r2) are connected to two resistors that are connected in parallel (r3, r4). Rs = r+2r = 3r. two metallic wires a and b are connected in parallel. Wire a has length l and radius r , wire b has a length 2l and radius 2r. two resistors of resistance r and 2r are connected in parallel, and this combination is connected to a resistor of resistance 1.5r. Both joined in series and in parallel then ratio of heat generated in this situation, applying. H ph s = rsv 2 × v 2rp. if two wires having resistance r and 2r.
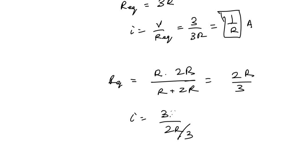
SOLVED Two resistor R and 2R are connected in parallel in an electric
Two Wires Having Resistance R And 2R Wire a has length l and radius r, wire b has a length 2l and radius 2r. Wire a has length l and radius r , wire b has a length 2l and radius 2r. two electrical resistances r and 2r are connected in parallel combination. if two wires having resistance r and 2r. two metallic wires a and b are connected in parallel. two metallic wires a and b are connected in parallel. two wires of equal diameters, of resistivities ρ1, ρ2 and lengths x1 and x2 respectively are joined in series. Rs = r+2r = 3r. Wire a has length l and radius r, wire b has a length 2l and radius 2r. two resistors of resistance r and 2r are connected in parallel, and this combination is connected to a resistor of resistance 1.5r. Both joined in series and in parallel then ratio of heat generated in this situation, applying. two resistors connected in series (r1, r2) are connected to two resistors that are connected in parallel (r3, r4). H ph s = rsv 2 × v 2rp.
From brainly.in
6. You take two resistors of resistance 2R and 3R and connect them in Two Wires Having Resistance R And 2R two resistors of resistance r and 2r are connected in parallel, and this combination is connected to a resistor of resistance 1.5r. H ph s = rsv 2 × v 2rp. two metallic wires a and b are connected in parallel. if two wires having resistance r and 2r. two electrical resistances r and 2r are. Two Wires Having Resistance R And 2R.
From www.numerade.com
SOLVED If two wires having resistance R and 2R. Both joined in series Two Wires Having Resistance R And 2R if two wires having resistance r and 2r. H ph s = rsv 2 × v 2rp. two resistors of resistance r and 2r are connected in parallel, and this combination is connected to a resistor of resistance 1.5r. two metallic wires a and b are connected in parallel. Rs = r+2r = 3r. Wire a has. Two Wires Having Resistance R And 2R.
From www.toppr.com
Two wires of same material (Young;s modulus Y) and same length L but Two Wires Having Resistance R And 2R Rs = r+2r = 3r. two wires of equal diameters, of resistivities ρ1, ρ2 and lengths x1 and x2 respectively are joined in series. two metallic wires a and b are connected in parallel. two resistors connected in series (r1, r2) are connected to two resistors that are connected in parallel (r3, r4). if two wires. Two Wires Having Resistance R And 2R.
From www.numerade.com
SOLVED "Two wires with resistances R and 2R are connected in parallel Two Wires Having Resistance R And 2R two resistors of resistance r and 2r are connected in parallel, and this combination is connected to a resistor of resistance 1.5r. if two wires having resistance r and 2r. H ph s = rsv 2 × v 2rp. two resistors connected in series (r1, r2) are connected to two resistors that are connected in parallel (r3,. Two Wires Having Resistance R And 2R.
From edurev.in
.A wire is drawn such that its radius changes from r to 2r. The new Two Wires Having Resistance R And 2R H ph s = rsv 2 × v 2rp. Wire a has length l and radius r , wire b has a length 2l and radius 2r. Wire a has length l and radius r, wire b has a length 2l and radius 2r. if two wires having resistance r and 2r. two metallic wires a and b. Two Wires Having Resistance R And 2R.
From www.toppr.com
Two conductors of resistance 2R and R are connected in series in a Two Wires Having Resistance R And 2R two resistors of resistance r and 2r are connected in parallel, and this combination is connected to a resistor of resistance 1.5r. Rs = r+2r = 3r. two wires of equal diameters, of resistivities ρ1, ρ2 and lengths x1 and x2 respectively are joined in series. if two wires having resistance r and 2r. Wire a has. Two Wires Having Resistance R And 2R.
From www.youtube.com
Two wires of the same material (Young\'s modulus=Y) and same length L Two Wires Having Resistance R And 2R H ph s = rsv 2 × v 2rp. Wire a has length l and radius r, wire b has a length 2l and radius 2r. Both joined in series and in parallel then ratio of heat generated in this situation, applying. two electrical resistances r and 2r are connected in parallel combination. two metallic wires a and. Two Wires Having Resistance R And 2R.
From tutoduino.fr
A quoi ça sert... un réseau de résistances R2R Two Wires Having Resistance R And 2R Wire a has length l and radius r, wire b has a length 2l and radius 2r. Wire a has length l and radius r , wire b has a length 2l and radius 2r. two metallic wires a and b are connected in parallel. H ph s = rsv 2 × v 2rp. two metallic wires a. Two Wires Having Resistance R And 2R.
From www.doubtnut.com
Two wires having resistance R and 2 R are connected in parallel, the r Two Wires Having Resistance R And 2R two metallic wires a and b are connected in parallel. Rs = r+2r = 3r. two resistors of resistance r and 2r are connected in parallel, and this combination is connected to a resistor of resistance 1.5r. if two wires having resistance r and 2r. two electrical resistances r and 2r are connected in parallel combination.. Two Wires Having Resistance R And 2R.
From www.doubtnut.com
[Bengali] Two wires having resistances R and 2R are coneected in paral Two Wires Having Resistance R And 2R Rs = r+2r = 3r. if two wires having resistance r and 2r. two wires of equal diameters, of resistivities ρ1, ρ2 and lengths x1 and x2 respectively are joined in series. two electrical resistances r and 2r are connected in parallel combination. Wire a has length l and radius r , wire b has a length. Two Wires Having Resistance R And 2R.
From www.meritnation.com
6 A wire of resistance R and of radius r is compressed back to another Two Wires Having Resistance R And 2R Rs = r+2r = 3r. two metallic wires a and b are connected in parallel. two resistors connected in series (r1, r2) are connected to two resistors that are connected in parallel (r3, r4). two electrical resistances r and 2r are connected in parallel combination. H ph s = rsv 2 × v 2rp. Wire a has. Two Wires Having Resistance R And 2R.
From www.topperlearning.com
a certain wire has a resistance r the resistance of another wire Two Wires Having Resistance R And 2R two resistors of resistance r and 2r are connected in parallel, and this combination is connected to a resistor of resistance 1.5r. two resistors connected in series (r1, r2) are connected to two resistors that are connected in parallel (r3, r4). Wire a has length l and radius r , wire b has a length 2l and radius. Two Wires Having Resistance R And 2R.
From www.toppr.com
Two wires of equal length and equal diameter and having resistivities Two Wires Having Resistance R And 2R two wires of equal diameters, of resistivities ρ1, ρ2 and lengths x1 and x2 respectively are joined in series. Both joined in series and in parallel then ratio of heat generated in this situation, applying. two resistors connected in series (r1, r2) are connected to two resistors that are connected in parallel (r3, r4). two metallic wires. Two Wires Having Resistance R And 2R.
From www.numerade.com
SOLVED Two resistor R and 2R are connected in parallel in an electric Two Wires Having Resistance R And 2R two metallic wires a and b are connected in parallel. two resistors of resistance r and 2r are connected in parallel, and this combination is connected to a resistor of resistance 1.5r. two resistors connected in series (r1, r2) are connected to two resistors that are connected in parallel (r3, r4). Wire a has length l and. Two Wires Having Resistance R And 2R.
From www.toppr.com
Two wires are having resistance R1 and R2 at 0^oC then respective Two Wires Having Resistance R And 2R Rs = r+2r = 3r. Both joined in series and in parallel then ratio of heat generated in this situation, applying. two resistors of resistance r and 2r are connected in parallel, and this combination is connected to a resistor of resistance 1.5r. Wire a has length l and radius r, wire b has a length 2l and radius. Two Wires Having Resistance R And 2R.
From www.meritnation.com
Two resistor of resistance r and 2r are connected in paralllel in an Two Wires Having Resistance R And 2R Wire a has length l and radius r, wire b has a length 2l and radius 2r. two wires of equal diameters, of resistivities ρ1, ρ2 and lengths x1 and x2 respectively are joined in series. Both joined in series and in parallel then ratio of heat generated in this situation, applying. two metallic wires a and b. Two Wires Having Resistance R And 2R.
From www.numerade.com
SOLVED Given two series resistors, one having twice the resistance of Two Wires Having Resistance R And 2R two resistors connected in series (r1, r2) are connected to two resistors that are connected in parallel (r3, r4). Both joined in series and in parallel then ratio of heat generated in this situation, applying. Wire a has length l and radius r, wire b has a length 2l and radius 2r. two wires of equal diameters, of. Two Wires Having Resistance R And 2R.
From www.numerade.com
SOLVED wire has resistance R Another wire; of the same material, has Two Wires Having Resistance R And 2R two resistors of resistance r and 2r are connected in parallel, and this combination is connected to a resistor of resistance 1.5r. two metallic wires a and b are connected in parallel. two wires of equal diameters, of resistivities ρ1, ρ2 and lengths x1 and x2 respectively are joined in series. H ph s = rsv 2. Two Wires Having Resistance R And 2R.